从“能源树”获悉,4月7日,云南省能源局下发《关于加快推进“十四五”规划新能源项目配套接网工程有关工作的通知》,提出:
为确保顺利完成全省“十四五”新能源规划建设目标,切云南省发改委要求实做好新能源项目建设与配套接网工程同步规划、同步建设、同步投产工作,实现新能源项目按期并网消纳,保障全省能源供应安全。
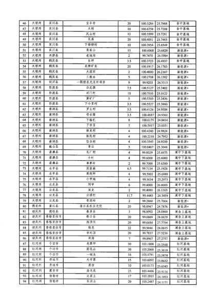
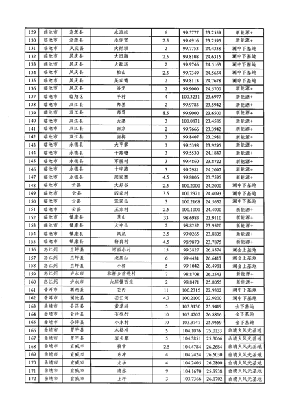
并公布了《云南省“十四五”规划新能源项目清单》。按照2022-2024年每年开工2000万千瓦新能源并留有裕度的原则,编制完成新能源项目接入系统方案(包括建设时序),同时提前修订电网建设规划,加快新能源配套接网工程前期工作和建设,确保未来三年新增5000万千瓦新能源项目全额消纳。
根据《清单》,云南省2021年风光项目1858.9万千瓦,其中风电项目892.6万千瓦,光伏966.3万千瓦。2022年光伏2101.5万千瓦,2023年光伏1792万千瓦,2024年光伏1557万千瓦。2021年-2024年风光项目共计7308.9万千瓦。






























京公网安备 11011102001627号